サイトアイコン 受験×ガチ勢×チート™【WEB問題集サイト】

【高校数学・数学Ⅲ】③関数の極限

ディスプレイ

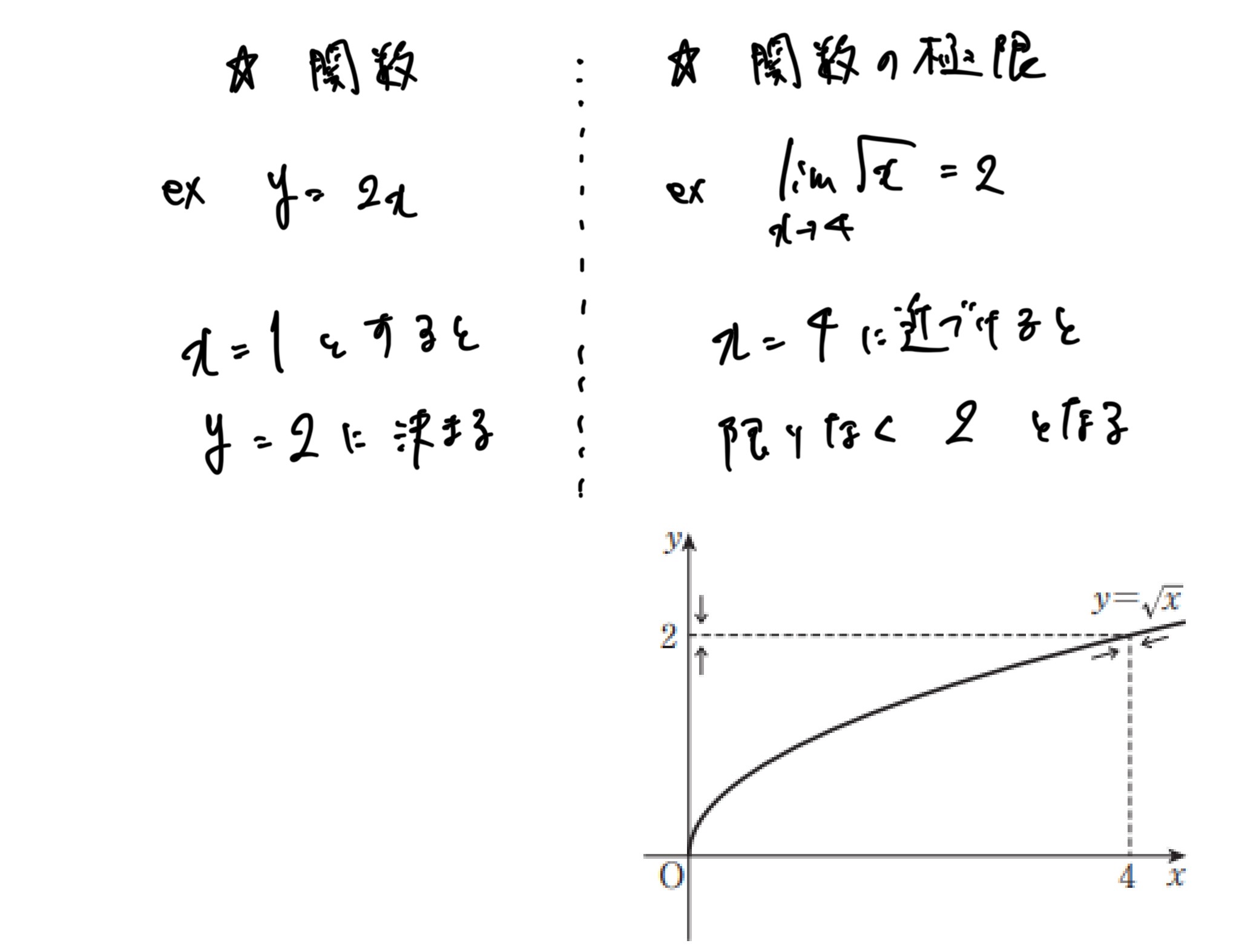
関数の極限とは

関数と関数の極限

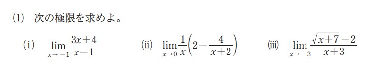
【高校数学・数学Ⅲまとめ】(計算練習)関数の極限値の問題

【高校数学・数学Ⅲまとめ】(計算練習)関数の極限値

極限値の条件による関数の決定

【高校数学・数学Ⅲまとめ】極限値の条件による関数の決定

【高校数学・数学Ⅲまとめ】極限値の条件による関数の決定(解答)

右極限と左極限

【高校数学・数学Ⅲまとめ】右極限と左極限

【高校数学・数学Ⅲまとめ】右極限と左極限(練習問題)

【高校数学・数学Ⅲまとめ】右極限と左極限(解答)

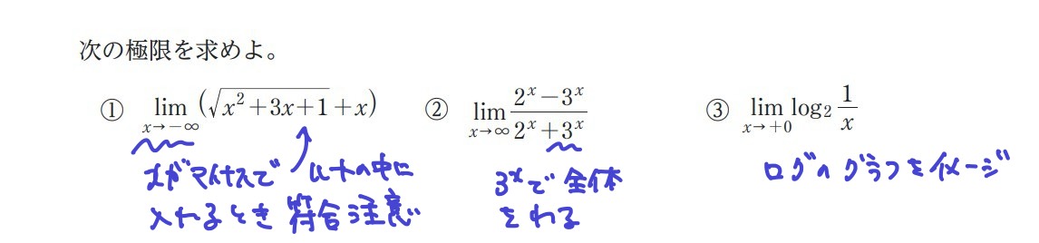
【高校数学・数学Ⅲまとめ】x→±∞のときの関数の極限

【高校数学・数学Ⅲまとめ】指数関数と対数関数の極限

【高校数学・数学Ⅲまとめ】指数関数と対数関数の極限(練習問題)

【高校数学・数学Ⅲまとめ】指数関数と対数関数の極限(解答)

三角関数の極限

【高校数学・数学Ⅲまとめ】三角関数

モバイルバージョンを終了