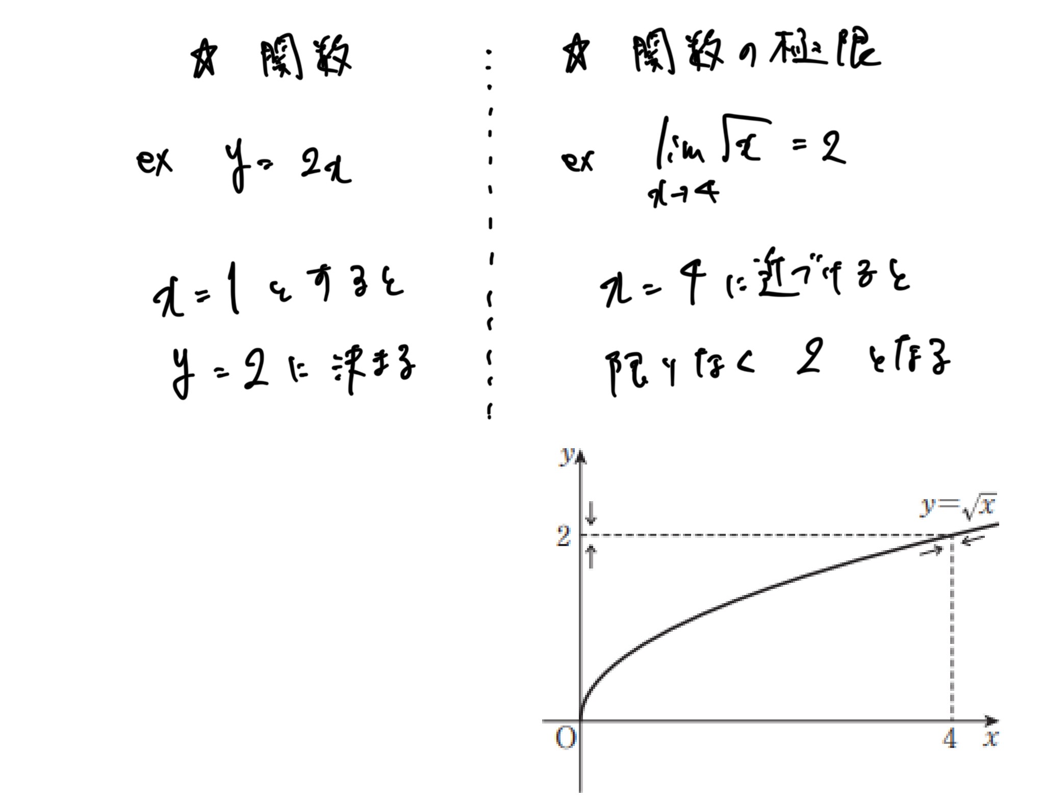
関数の極限とは

関数と関数の極限
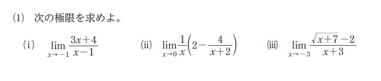
関数の極限値の問題.jpg)
【高校数学・数学Ⅲまとめ】(計算練習)関数の極限値の問題
関数の極限値.jpg)
【高校数学・数学Ⅲまとめ】(計算練習)関数の極限値
極限値の条件による関数の決定

【高校数学・数学Ⅲまとめ】極限値の条件による関数の決定
.jpg)
【高校数学・数学Ⅲまとめ】極限値の条件による関数の決定(解答)
右極限と左極限

【高校数学・数学Ⅲまとめ】右極限と左極限
.jpg)
【高校数学・数学Ⅲまとめ】右極限と左極限(練習問題)
.jpg)
【高校数学・数学Ⅲまとめ】右極限と左極限(解答)

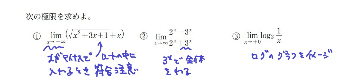
【高校数学・数学Ⅲまとめ】x→±∞のときの関数の極限

【高校数学・数学Ⅲまとめ】指数関数と対数関数の極限
.jpg)
【高校数学・数学Ⅲまとめ】指数関数と対数関数の極限(練習問題)
.jpg)
【高校数学・数学Ⅲまとめ】指数関数と対数関数の極限(解答)
三角関数の極限

【高校数学・数学Ⅲまとめ】三角関数

【高校数学・数学Ⅲまとめ】三角関数の極限(練習問題)

【高校数学・数学Ⅲまとめ】三角関数の極限(解答)

【高校数学・数学Ⅲまとめ】三角関数の極限(変数を使う練習問題)

【高校数学・数学Ⅲまとめ】三角関数の極限(変数を使う解法)

【高校数学・数学Ⅲまとめ】三角関数の極限(ハサミうちを使う練習問題)

【高校数学・数学Ⅲまとめ】三角関数の極限(ハサミうちを使う解法)